文/北京集佳知識產權代理有限公司 金世煜
在新的審查指南修改中(2021年1月15日起施行),關于化合物創造性的判斷追加了5個示例,其中,示例1~3重點說明了結構相似性的判斷方式,以及由結構差異是否帶來功能上的不同(是否達到了“質”的預想不到的效果),來對創造性的判斷進行了示例。
此外,示例4、5主要從效果的“量”的方面,例示了創造性的判斷方式,本文著重討論示例4、5對代理人工作的一些啟示。
眾所周知,在主張發明具有創造性時,如果能充分論證發明獲得了預料不到的技術效果,則對認可其創造性產生重要意義。尤其在化學領域——這種實驗科學性很強的領域,其技術效果往往是難以事先預判的,很多技術方案通常有賴于大量實驗、試錯才能獲得。甚至很多重要發現(發明),也往往是基于偶然實驗而獲得了預料不到的結果(其作用機理或不甚明了或通過反向推論才逐漸認識的)。在審查實務中,審查員往往會以技術方案可以通過合乎邏輯的分析、推理或者有限的試驗得到,并且其效果可以預期為由,而否定發明申請的創造性。因此,在化學領域對于如何積極有效地主張發明效果的難以預料性是一個非常重要的課題。
審查指南在“發明取得了預料不到的技術效果”【1】部分指出:發明取得了預料不到的技術效果,是指發明同現有技術相比,其技術效果產生“質”的變化,具有新的性能;或者產生“量”的變化,超出人們預期的想象。這種“質”的或者“量”的變化,對所屬技術領域的技術人員來說,事先無法預測或者推理出來。當發明產生了預料不到的技術效果時,一方面說明發明具有顯著的進步,同時也反映出發明的技術方案是非顯而易見的,具有突出的實質性特點,該發明具備創造性。
通過主張預料不到的技術效果來主張發明具有創造性,通常被用于選擇發明、轉用發明和組合發明等發明中,因為對于這些發明,通過“三步法”【2】往往很難說服審查員該發明具有突出的實質性特點(非顯而易見性)。在本次指南修改的追加示例中,我們可以看出在化合物發明中,也可以類比上述選擇發明(例如特定取代基的選擇)、組合發明(例如不同部位的取代基的組合),而進一步探究效果的變化程度,來主張或評判化合物是否具有創造性。
具體而言,在此次修改的審查指南中關于化合物創造性判斷的例4、例5分別如下。
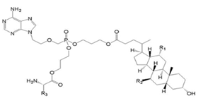
一、關于例4
【例4】
現有技術:
(Ⅳa)
本申請:
(Ⅳb)
(Ⅳb)與(Ⅳa)化合物的區別僅在于嘌呤6-位上以-O-替換了-NH-。盡管-O-與-NH-為所屬技術領域公知的經典電子等排體,但(Ⅳb)的癌細胞生長抑制活性比(Ⅳa)提高約40倍,(Ⅳb)相對于(Ⅳa)取得了預料不到的技術效果,由此反映(Ⅳb)是非顯而易見的,故(Ⅳb)具有創造性。
淺析:
在上述示例中由于相對于對比文件,本申請的抗癌效果提高約40倍,通常就可以認為是“量”上的預想不到的技術效果。雖然該示例并沒有明確說明是如何來判斷“預料不到的技術效果”的。
《專利審查指南》對于預料不到的技術效果,認為其比較基準為:是否超出了所屬技術領域的技術人員預期或者推理的范圍。
通過上述審查指南的追加示例,我們是否可以認為:在主張預料不到的效果時,如上述示例達到例如10倍以上的優良效果時,根據一般性常識,即達到一個數量級(10倍以上)的優良效果就可直接認定為是獲得了預料不到的技術效果?關于此點,雖仍有待在后續審查實踐中,不斷跟蹤、探討,但筆者認為可以以此中國審查指南示例為依據,在達到10倍量級的效果差異的情況下,就可以直接以普通常識的角度,無需進一步舉證,而直接得出取得了預料不到的技術效果的結論。審查員如對此有疑義,應進一步承擔相反意見的舉證、說理責任。
實際上,審查指南的上述示例標準其實也是相當高的,對此,我們參考日本的“審查基準”(相當于中國的“審查指南”)可以發現,日本對于超出預期的效果的示例的量化標準是達到了6~9倍(示例的技術領域也同樣是醫療領域)【3】。此外,根據技術領域的差異,其實也并非一定要達到1個數量級(10倍以上)的效果差別,才能主張“預料不到的技術效果”。即,由于技術領域的不同,對效果是否達到了預料不到的程度的要求也會相應改變。換言之,當差別不足以“一眼看過去”就有說服力的時候——例如上述例4那樣,根據“常識”即可判斷其屬于“預料不到”的技術效果時,就需要申請人進一步進行相關舉證,其中,很重要的是“舉證”說明:本領域技術人員對于區別特征會引起的效果變化的預期是怎樣的?這種舉證,可以是舉出本領域的公知常識性證據,也可以是補充實驗性的證據——重點在于論證、說明在某個特定的技術領域,一般能預期的效果差異是處于何種程度的。
事實上,除了爭論“量”的絕對數值方面的顯著“差異”之外,申請人如果能夠主張其效果出現了預期上的“變化”,也是可以進行相關舉證、說明的,例如,
a.趨勢變化中出現的“拐點”性的顯著變化;或
b.與在先技術中教導的趨勢性“量”變相違的效果變化;或
c.出現了相乘效果,即協同效果;等
這些都可以主張某種“量”上的效果達到了“預料不到的技術效果”的程度。
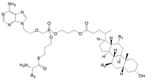
二、關于例5
【例5】
現有技術:
(Ⅴa)
其中R1=OH, R2=H且R3=CH2CH(CH3)2。
申請:
(Ⅴb)
其中R1和R2選自H或OH,R3選自C1-6烷基,并包括了R1=OH, R2=H且R3=CHCH3CH2CH3的具體化合物(Ⅴb1)。且(Ⅴb1)的抗乙肝病毒活性明顯優于(Ⅴa)。
......(關于Vb的創造性略)
當要求保護(Ⅴb1)具體化合物時,(Ⅴb1)與(Ⅴa)的區別不僅在于上述連接原子不同,而且R3位取代基亦不相同,(Ⅴb1)的抗乙肝病毒活性明顯優于(Ⅴa)?,F有技術中不存在通過所述結構改造以提升抗乙肝病毒活性的技術啟示,故(Ⅴb1)具有創造性。
淺析:
在上述示例中,只是表述了(Ⅴb1)的抗乙肝病毒活性明顯優于(Ⅴa),顯然,是沒有達到“量”的預想不到的技術效果的程度。那么在這種情況下,可以結合技術方案本身的“非顯而易見性”,來綜合性地爭論創造性。即,當效果差別不足以或難以論證是屬于“預料不到”的程度時,可以從技術方案著手,尋找更多的區別點或進一步的優選方案的組合,來表明技術方案整體的“非顯而易見”性,或者是需要大量實驗(非“有限次實驗”)才能得到的。具體到該示例,當區別點從1個提高到2個的時候(“區別不僅在于上述連接原子不同,而且R3位取代基亦不相同”),該技術方案本身的“非顯而易見性”自然隨之提高,那么相應地對“量”的優化程度的關注也會有所降低,不必一定要證明達到了預料不到的程度,只要“明顯優于”即可。
在實務中,申請人有時會出現草率地主張預料不到的效果的情況,而實際上審查員對“量”的預料不到的效果的判斷是較為嚴格的,如上述例4那樣,除非有很“突出”(要高于“明顯”)的差異,否則很難被認可。換言之,當效果差異并未達到基于常識判斷就能辨別是預料不到的程度時,往往需要申請人進一步舉證,論證該效果差異達到了預料不到的程度,否則,申請人將承擔舉證不利的后果。由該示例可知,當效果差異僅是“明顯”優異、且難以進一步舉證達到了預料不到的程度時,可以從技術方案的非顯而易見性(更多的差異性)方面著手,來爭論創造性。
通常,當要求保護的發明相對于現有技術的非顯而易見性越低,則對發明欲具備創造性所需的技術效果的要求就越高。這一關系可以簡單地用圖1表示【4】。所以,在效果達不到“量”的預料不到的程度時,可以在進一步限定技術方案、增加區別技術特征的基礎上(由于相關變量的增加而并非有限次實驗就可容易得到),使該技術方案的非顯而易見性提高,再結合“明顯”的優異效果,來爭論創造性。
綜上,本文探討了新審查指南修改中未明示表達、但可以從中窺知的一些細微含義和潛含意味,從中或許可以對代理人在爭論創造性時提供更多的參考視角或啟發。即,在效果是否達到預料不到的程度方面存在舉證困難時,不妨從技術方案方面做進一步的探討,并進一步與“明顯”的效果相結合,來綜合地論述創造性。
注釋
【1】《專利審查指南》第二部分第四章5.3
【2】《專利審查指南》第二部分第四章3.2.1.1
【3】《特許?実用新案審査基準》第III 部第2 章第2 節 3.2.1
【4】“預料不到的技術效果”在創造性判斷中的考量《中國發明與專利》2013年第02期,馬文霞。